New York Passenger Lists 1820 - 1957 www.ancestry.com
|
|
|
|
Date of Arrival
|
Ship’s Name
|
Port of Arrival
|
Port of Departure
|
Shipping Line
|
|
abt 1891
|
-
|
-
|
-
|
-
|
|
Name
|
Occupation
|
Length of Service
|
Age / Sex
|
Nationality
|
|
Lotta Datlin
|
Servant
|
-
|
21 / F
|
Sweden
|
|
Notes: Unknown - Need to recheck this entry for correct dates and ship details.
|
|
|
|
|
|
Date of Arrival
|
Ship’s Name
|
Port of Arrival
|
Port of Departure
|
Shipping Line
|
|
23 Dec 1906
|
SS Umbria
|
New York
|
Liverpool
|
Cunard
|
|
Name
|
Occupation
|
Length of Service
|
Age / Sex
|
Nationality
|
|
Isabella Datlen
|
Parlour Maid
|
-
|
27 / F
|
British
|
|
Notes: Isabella is the daughter of Robert / Robert / Johannes. She is described as being 5’2” with dark complexion and with brown hair and brown eyes. Her passage was paid for by someone with the name King which presumably is her future husband Louis King.
|
|
|
|
|
|
Date
|
Ship’s Name
|
Port of Arrival
|
Port of Departure
|
Shipping Line
|
|
15 Oct 1922
|
Harold
|
Astoria, Oregon
|
Chinwangtao. China
|
-
|
|
Name
|
Occupation
|
Length of Service
|
Age / Sex
|
Nationality
|
|
Alfred Dietlein
|
Crew - AB
|
-
|
21 / M
|
German
|
|
Notes: Unknown
|
|
|
|
|
|
Date of Arrival
|
Ship’s Name
|
Port of Arrival
|
Port of Departure
|
Shipping Line
|
|
17 Nov 1942
|
M/V Robert.F.Hand
|
New York
|
Aruba
|
?
|
|
Name
|
Occupation
|
Length of Service
|
Age / Sex
|
Nationality
|
|
Frederick Datlen
|
Deck Hand
|
1.5 years
|
33 / M
|
British
|
|
Notes: This could be Frederick Datlen son of Henry / Joseph / Adam / Johannes
|
|
|
|
|
|
Date of Arrival
|
Ship’s Name
|
Port of Arrival
|
Port of Departure
|
Shipping Line
|
|
2 Mar 1943
|
Highland Brigade
|
New York
|
-
|
Royal Mail Lines
|
|
Name
|
Occupation
|
Length of Service
|
Age / Sex
|
Nationality
|
|
Arthur Datlen
|
B. R. Steward
|
7 years
|
34 / M
|
British
|
|
Notes: Arthur was the son of Frederick / Robert / Robert / Johannes, he was 5.8ft in height and weighed 141 lbs
|
|
|
|
|
|
Date of Arrival
|
Ship’s Name
|
Port of Arrival
|
Port of Departure
|
Shipping Line
|
|
25 Sep 1951
|
ss Cnosa
|
Portland, Oregon
|
Yamata, Japan
|
-
|
|
Name
|
Occupation
|
Length of Service
|
Age / Sex
|
Nationality
|
|
Alfred Dietlein
|
Crew - CH Mate
|
-
|
50 / M
|
German
|
|
Notes: Unknown
|
|
|
|
|
|
Date of Arrival
|
Ship’s Name
|
Port of Arrival
|
Port of Departure
|
Shipping Line
|
|
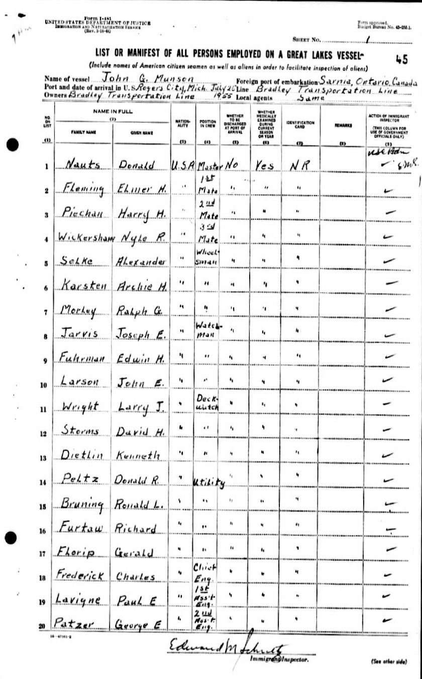
25 July 1955
|
-
|
Rogers City, Mich
|
Sarnia, Ontario, Canada
|
Bradley Transportation Line
|
|
Name
|
Occupation
|
Length of Service
|
Age / Sex
|
Nationality
|
|
Kenneth Dietlin
|
Deck Watch
|
-
|
-
|
USA
|
|
Notes: Unknown
|
|
|
|
|
|
Date of Arrival
|
Ship’s Name
|
Port of Arrival
|
Port of Departure
|
Shipping Line
|
|
25 July 1955
|
W F White
|
Rogers City, Michigan
|
Canada
|
Bradley Transportation Line
|
|
Name
|
Occupation
|
Length of Service
|
Age / Sex
|
Nationality
|
|
Leon Dietlin
|
Stoker or man
|
-
|
-
|
German
|
|
Notes: Unknown
|
|
|
|
|
|
Employment record for Frederick Datlen (son of Robert / Robert / Johannes) born 1871 Arrivals into New York, USA
|
|
Date
|
Ship’s Name
|
Port of departure
|
Occupation
|
Age
|
Height
|
Weight
|
Source
|
|
24 Feb 1924
|
Pittsburgh
|
Hamburg
|
Steward
|
53
|
5’10
|
200
|
|
|
3 Jun 1924
|
Pittsburgh
|
Hamburg
|
Steward
|
52
|
5’9
|
180
|
|
|
8 Jul 1924
|
Pittsburgh
|
Hamburg
|
Steward
|
52
|
5’9
|
180
|
|
|
12 Aug 1924
|
Pittsburgh
|
Hamburg
|
Steward
|
53
|
5’9
|
160
|
|
|
16 Sep 1924
|
Pittsburgh
|
Hambug
|
Steward
|
53
|
5’9
|
154
|
|
|
5 Nov 1924
|
Pittsburgh
|
Hamburg
|
Steward
|
53
|
5’9
|
154
|
|
|
16 Jun 1925
|
Olympic
|
Southampton
|
Steward
|
54
|
5’8
|
140
|
|
|
12 Jul 1925
|
Arabic
|
Southampton
|
Steward
|
54
|
5’9
|
196
|
|
|
13 Aug 1925
|
Arabic
|
Hamburg
|
Steward
|
54
|
5’9
|
189
|
|
|
16 Sep 1925
|
Arabic
|
Hamburg
|
Steward
|
54
|
5’9
|
196
|
|
|
21 Oct 1925
|
Arabic
|
Hamburg
|
Steward
|
54
|
5’9
|
196
|
|
|
27 Nov 1925
|
Arabic
|
Hamburg
|
Steward
|
54
|
5’9
|
196
|
|
|
2 Jan 1926
|
Arabic
|
Hamburg
|
Steward
|
54
|
5’9
|
190
|
|
|
13 Apr 1926
|
Andania
|
Southampton
|
Saloon Waiter
|
54
|
5’9
|
164
|
|
|
8 Apr 1927
|
Homeric
|
Southampton
|
B.R. Stewd
|
56
|
5’10
|
178
|
|
|
27 Apr 1927
|
Homeric
|
Southampton
|
B.R.Stewd
|
56
|
5’9
|
180
|
|
|
8 Jun 1927
|
Homeric
|
Southampton
|
B.R.Stewd
|
56
|
5’9
|
180
|
|
|
3 Jul 1927
|
Lapland, Red Star Line
|
Antwerp
|
Cabin Waiter
|
56
|
5’9
|
200
|
|
|
15 Aug 1927
|
Lapland, Red Star Line
|
Antwerp
|
CabIn Waiter
|
56
|
5’8
|
175
|
|
|
7 Nov 1927
|
Lapland, Red Star Line
|
Antwerp
|
Cabin Waiter
|
56
|
5’6
|
175
|
|
|
12 Dec 1927
|
Belgenland, Red Star Line
|
Antwerp
|
1st Class Waiter
|
56
|
5’10
|
180
|
|
|
26 Apr 1928
|
Belgenland, Red Star Line
|
Yokohama
|
1st Class Waiter
|
56
|
5’10
|
180
|
|
|
1 Jul 1928
|
Belgenland, Red Star Line
|
Antwerp
|
Chf. Tour Waiter
|
57
|
5’8
|
172
|
|
|
26 Aug 1928
|
?, Red Star Line
|
Antwerp
|
Chf. Tour. Wtr
|
57
|
5’8
|
185
|
|
|
24 Sep 1928
|
Belgenland, Red Star Line
|
Antwerp
|
Chf. Tour. Wtr
|
57
|
5’9
|
200
|
|
|
21 Oct 1928
|
Belgenland, Red Star Line
|
Antwerp
|
Chf. Tour. Wtr
|
58
|
5’9
|
190
|
|
|
14 Dec 1928
|
Belgenland, Red Star Line
|
Antwerp
|
Wine Butler
|
57
|
5’9
|
180
|
|
|
1 May 1929
|
Belgenland, Red Star Line
|
New York
|
Wine Butler
|
57
|
5’9
|
180
|
|
|
26 Jun 1934
|
Olympic
|
Southampton
|
Pantry Man
|
45
|
5’9
|
161
|
|
|
17 Aug 1934
|
Berengaria
|
Southampton
|
Night Stwd
|
63
|
5’9
|
200
|
|
|
31 Aug 1934
|
Berengaria
|
?
|
Night Stwd
|
63
|
5’10
|
200
|
|
|
4 Sep 1934
|
Berengaria
|
?
|
Night Stwd
|
63
|
5’10
|
200
|
|
|
|
|
|